第一波新冠已然結束,但第二波、第三波呢?多次感染癥狀會越來越嚴重嗎?從來自美國的 580 萬人的數據分析來看,再次感染導致的健康風險只增不減,且多次感染至少會留有一種后遺癥,疫情遠未結束,及時修復人體免疫,才是眼下可靠的應對之策。
最新一期的中國疾控中心周報顯示,春節假期我國疫情未出現明顯反彈,且此次流行過程中未發現新的變異株。從報告看,目前我國本輪疫情已接近尾聲,隨著新冠感染的第一波高峰過去,但根據已經歷多輪感染的其他國家的經驗,二次感染及多次感染新冠的可能性依舊存在。
01 反復感染新冠,增加器官衰竭和死亡的風險!
近日,美國退伍軍人事務部圣路易斯醫療保健系統臨床流行病學中心和華盛頓大學醫學院醫學系等聯合團隊在 Nature medicine 發表題為“Acute and postacute sequelae associated with SARS-CoV-2 reinfection”的研究成果。

該研究發現,反復感染新冠,會顯著增加多個器官系統健康風險,增加器官衰竭和死亡的風險,感染次數越多,累積后遺癥風險越高,且新冠感染急性期健康風險在 6 個月后仍然存在。包括易患影響肺、心臟、大腦、血液、肌肉骨骼和胃腸道疾病,還會導致糖尿病、腎病和心理健康問題,甚至死亡。
研究提醒人們應該保持警惕,及時修復免疫系統,以減少再次感染的機會。
為了更好地了解再感染是否會增加健康風險,研究首先使用逆概率加權生存模型分析了與未再感染的人相比,再感染的人的全因死亡率、住院率和器官系統的健康風險。再感染定義為距離首次陽性至少 90 天后新冠檢測再呈陽性。指定 9 0天的時間范圍是為了降低陽性結果與首次感染相關的可能性。
通過對數據分析發現:在該研究中,在再次感染的人群中,92.8% 的人 2 次感染,6.3% 的人 3 次感染,0.9% 的人 4 次或以上感染。
與未發生再感染的患者相比,發生再感染的患者在 6 個月時每千人全因死亡負擔增加 115%。再感染患者的住院負擔增加 214%,且至少有一種新冠感染后遺癥負擔增加 74%。
在后遺癥方面,再感染患者肺部后遺癥的負擔增加 240%,肺外器官系統疾病包括心血管疾病增加193%、凝血和血液病增加205%、疲勞增加127%、胃腸疾病增加134%、腎臟疾病增加249%、心理健康障礙增加99%、糖尿病增加69%、肌肉骨骼疾病增加62%和神經障礙負擔增加56%。
從首次感染到再感染的時間長度與再感染的全因死亡率、住院和至少一種后遺癥風險之間的相關性沒有變化;無論疫苗接種狀況如何,再感染與更高的全因死亡率、住院率、至少一種后遺癥和不同器官系統的后遺癥風險相關。

▲再感染者與未再感染者后遺癥的風險和負擔
02 感染次數越多,累積后遺癥風險越高
為了更好地了解多重感染者的累積風險,研究估計了僅一次感染、兩次、三次或更多次感染的累積風險和負擔。通過對數據分果發現隨著感染數量的增加,一年內每千人不良健康結果負擔增加,且存在分級關聯:一次感染、兩次、三次或更多次感染的患者住院負擔分別增加了 40%、302%、528%,至少有一種新冠感染后遺癥負擔分別增加了 24%、57%、67%;再感染患者肺部后遺癥的負擔分別增加了 87%、238%、308%,肺外器官系統疾病包括心血管疾病分別增加了 54%、186%、335%,凝血和血液病分別增加了 62%、194%、324%,疲勞分別增加了 43%、139%、224%,胃腸疾病分別增加了 28%、119%、198%,腎臟疾病分別增加了 38%、189%、389%,心理健康障礙分別增加了 26%、89%、122%,糖尿病分別增加了 35%、106%、185%,肌肉骨骼疾病分別增加了 23%、52%、80% 和神經障礙負擔分別增加了 25%、69%、117%。

▲感染 1 次、2 次、3 次或更多次的后遺癥累積風險和負擔
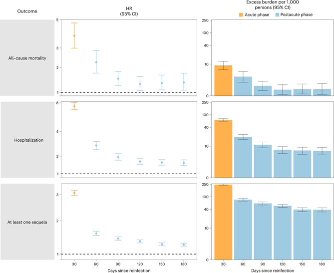
03 新冠再感染急性期健康風險在六個月后仍然存在
為確定再感染的急性期及之后是否存在新冠再感染后遺癥的風險,研究人員以 30 天為增量,對從再感染到 180 天后的風險和負擔進行了分析。結果發現:與沒有再感染的人相比,再感染的人在急性期和急性期后表現出更高的風險和全因死亡率、住院率以及至少一種后遺癥的額外負擔;這些風險隨著時間的推移逐漸減弱,但在再次感染后 6 個月仍然很明顯;在急性期所有器官系統的風險均增加,且在 6 個月后仍然很明顯。

▲再感染者急性期及后全因死亡率、住院率和至少一種后遺癥的風險和負擔

▲再感染者急性期及后器官系統后遺癥的風險和負擔
總之,研究結果表明,在再感染的急性期和后期,再感染會進一步增加全因死亡率和不良健康結果的風險。這表明對于已經感染過一次的人來說,繼續保持警惕以降低再感染的風險可能對降低個人健康的總體風險很重要。
研究提醒人們應該保持警惕,及時修復免疫系統,以減少再次感染的機會。因此患有基礎疾病,年老體弱的人群中,由于自身免疫系統調節能力較差,新冠病毒進入人體容易引起免疫系統的極端反應,引發大規模的、全身的炎癥反應,因此感染新冠后得重癥感染的機率更高。由此可見,免疫系統功能的健全,和人體免疫能力的強弱才是能戰勝病毒的關鍵。
隨著人們建立了對新冠病毒的免疫力,以及變體病毒變得更加溫和后,人們開始討論一個問題:新冠的未來趨勢會是像感冒那樣嗎?1 月 5 日,國家中西醫結合醫學中心主任仝小林表示:“新冠不是大號流感,北京疫情癥狀明顯,部分人轉成肺炎,而且大部分患者中招時間很長。”密歇根大學流行病學家 Aubree Gordon 表示:“我以前真的認為它會成為更接近普通感冒的冠狀病毒。但嚴重程度并沒有像最初希望的那樣急劇下降。接種疫苗的人群也遭受了二次和三次新冠感染,這種病毒仍然比流感更嚴重。”
自大流行早期以來,許多專家就預測了這樣的軌跡:疫苗和感染不斷增強對新冠的免疫力,最終可能會將新冠馴服為一種像普通感冒一樣微不足道的疾病,或者在最壞的情況下,與季節性流感一樣。從美國的經驗來看,新冠癥狀更加普通和普遍,很難區分新冠、流感、呼吸道合胞病毒和普通感冒的區別。
美國 CDC 的一項分析中,匯總了新冠感染之后人體各個免疫應答的持續時間。從以往的重癥患者病例解剖報告中免疫細胞的銳減,我們也能知曉,免疫細胞是新冠嚴重程度和死亡的關鍵因素。

▲新冠感染之后人體各個免疫應答的持續時間
保持良好的免疫細胞數量和活性,讓身體免疫時刻保持最佳狀態,才是抵御病毒感染的關鍵。免疫細胞是人體免疫系統的組成單位,也是人體健康的“保護傘”,在新冠病毒持續肆虐的當下,優質、活性、數量足的免疫細胞對一個人的免疫力至關重要,理性看待新冠,科學增強免疫,將會是未來很長一段時間的“新課題”。

免責聲明:
我們尊重原創,也注重分享。部分圖文來源網絡,版權歸原作者所有,如涉及作品內容、版權或其它問題,請聯系我們刪除!


閩公網安備 35020602002648 號
QQ 客服